组播拓扑:

从第一跳路由器(FH)到最后一条路由器(LH)中间会形成一个组播分发树.
组播分发树有两种模型:
1、源树模型:从源到接受者计算出一条最短路径。
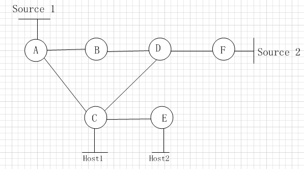
如source1到host1走的路径是:source1-->A-->C-->host1
source1到host2走的路径是:source1-->A-->C-->E-->host2
source2到host1走的路径是:source2-->F-->D-->C-->host1
source2到host2走的路径是:source2-->F-->D-->C-->E-->host2
2、共享树模型:从各个源先到集中点(RP),再从集中点到host
上图拓扑假设D为集中点(RP)
第一段:从源到RP,此部分其实也是源树模型
source1-->A-->B-->D;
source2-->F-->D;
第二段:从RP到host,此部分为真正的共享树模型
D-->C-->host1
D-->C-->E-->host2
两种分发树优缺点比对:
源树:从源到host都是最优路径,但是浪费带宽资源
共享树:源到host不一定是最优路径,但是无关路由器不需在维护组播信息
二、两种模式
1、Dense mode:密集模式,可以理解为源树模式
2、sparse mode:稀疏模式,可以理解为共享树模型
pim协议可以支持以上两种模式
三、两种分发树工作机制
1、源树使用推机制,源发送组播流,沿途的开启组播的路由器立即生成一条(Source,Group)条目,记录接收组播的接口,即入接口,如source1(ip地址为1.1.1.1)去往组播组224.1.1.1;则A会生成一条(S,G)条目;
2、共享树使用拉机制,前一段与源树工作机制一样,生成一条(S,G),后一段即从RP到LH使用的是拉机制,由于不区分源,生成的是一条(*,G)条目,由host发送加组消息,LH沿着到RP的路径上发送join组消息,从源拉取数据。
四、组播防环
组播工作机制,从一个接口接收到组播流,则朝其他所有接口发出。如上的拓扑图,容易在A/B/C/D路线上形成环路,A-->B-->D-->C-->A
组播防环机制:路由器决定仅从某一个接口接收组播流量,其余接口来的组播流量默认丢弃。
RPF接口检测机制:路由器从哪一个接口接收到来自源的组播流,也必须从此接口去往此源。否则丢弃。

如上图,F选举出红色接口为RPF接口,则从蓝色接口来的组播流默认丢弃。
对于源树而言,RPF接口是去往source的接口
对于共享树而言,RPF接口是去往RP的接口
