STP的五种状态 1. Blocking State · Discards frames received on the port(不收数据帧) · Discard...
乾颐堂安德老师CCNA超高清版
乾颐堂安德老师CCNA超高清版 注:本帖资源来自于网络,博主辛苦整理收集,大家觉得不错请及时下载学习,还可以转发给朋友,版权归作者所有,如果有侵犯版权的资源请尽快联系站长~我们会在24h内删除。点击文...

大二层技术对比分析
大二层技术对比分析 传统的数据中心汇聚交换机作为网关,为了提高HA性能,基本都采用双机冗余建设模式。随着数据中心进入虚拟化时代,接入服务器的规模飞速增加,虚拟服务器的规模出现级数增加。同时,更多的客户...

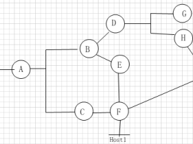
组播学习笔记(六)SPT+RP自动选举
SPT切换能够结合共享树和源树的优点。主要机制是在LH设置一个阀值,当流量超过这个阀值时,组播分发树从共享树切换成源树。默认这个阀值为0,即一旦有组播流量则从共享树切换成源树。 一开始没...
STP保护机制
1 BPDU保护 在STP中,如果网桥连接的终端设备,会将连接该终端设备的端口设置为边缘端口以实现这些端口的快速迁移。正常情况下,边缘端口不会收到BPDU,但如果有人伪造BPDU发送给交换...